高数帮帮站
数学学习重点笔记整理2
在我们这个充满活力与智慧的线上交流群里,每天都有思维的火花在碰撞,各类题目讨论得热火朝天。为了让大家能更系统、便捷地回顾这些精彩内容,我们特别为大家整理了近期的题目集萃,快来一起看看吧!
1
凑微分

2
换元积分法

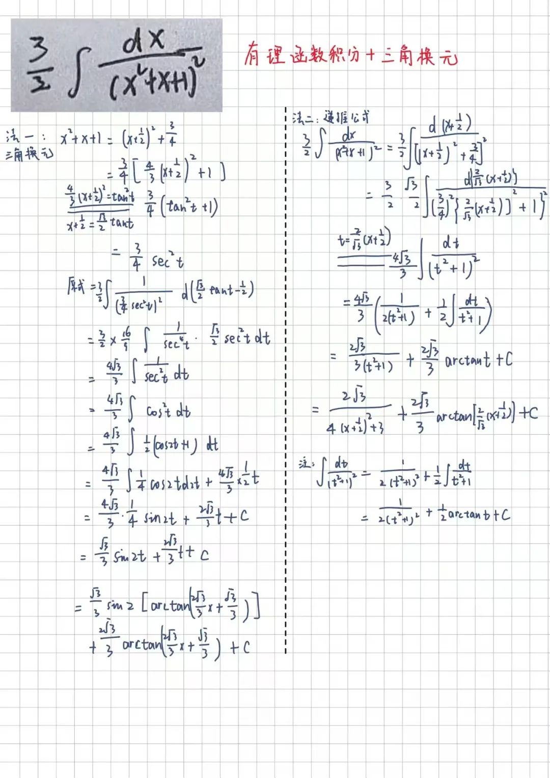
3
有理函数积分+三角换元

高数帮帮站
数学学习重点笔记整理2
在我们这个充满活力与智慧的线上交流群里,每天都有思维的火花在碰撞,各类题目讨论得热火朝天。为了让大家能更系统、便捷地回顾这些精彩内容,我们特别为大家整理了近期的题目集萃,快来一起看看吧!
1
凑微分

2
换元积分法

3
有理函数积分+三角换元
