SUIBE青春统信 SUIBE青春统信 2024-01-05 23:01 发表于上海
高数帮帮站 | 释疑解难 (2) | 微积分B
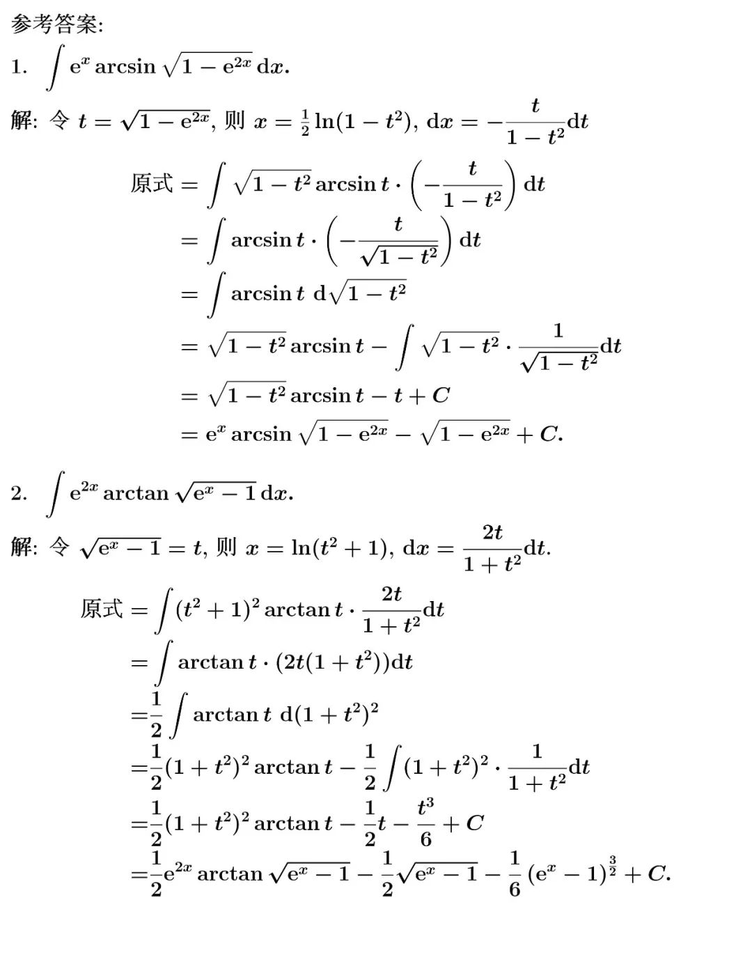
去年真题---不定积分
我为同学做实事
为了更好地回答同学们在数学学习中
普遍遇到的问题,
高数帮帮站与应用数学系教工党支部合作,
在公众号上推出“释疑解难”答疑专栏。
我们期待通过这个专栏,
能够为更多同学提供必要的支持和解答,
让数学学习变得更加轻松而愉快。
如果在学习过程中遇到了任何难题,
欢迎通过问卷与我们联系。
此外, 如果你解决了一道有趣的题目,
也欢迎分享给我们,
让更多的同学一起分享这个乐趣。
我们鼓励大家积极参与,
共同交流学习经验, 共享有益的数学资源。



