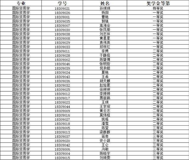
根据必赢626net入口首页研究生学业奖学金管理实施细则,通过个人递交申请材料及学院评审,名单公示如下,如有异议,请于即日起至3月15日至博识楼B106询问,电话67703491,之后将送学校审批。



必赢626net入口首页
国际经贸学院
2021年3月9日
根据必赢626net入口首页研究生学业奖学金管理实施细则,通过个人递交申请材料及学院评审,名单公示如下,如有异议,请于即日起至3月15日至博识楼B106询问,电话67703491,之后将送学校审批。



必赢626net入口首页
国际经贸学院
2021年3月9日